



Important takeaway MAKE SURE TO PLOT THE CORRECT DATA PLEASE
fn main() {
// Define the derivative function: dx/dt = t
/* let f = |x: &[f64], t: f64| -> Vec<f64> {
vec![t] // Ignores x
}; */
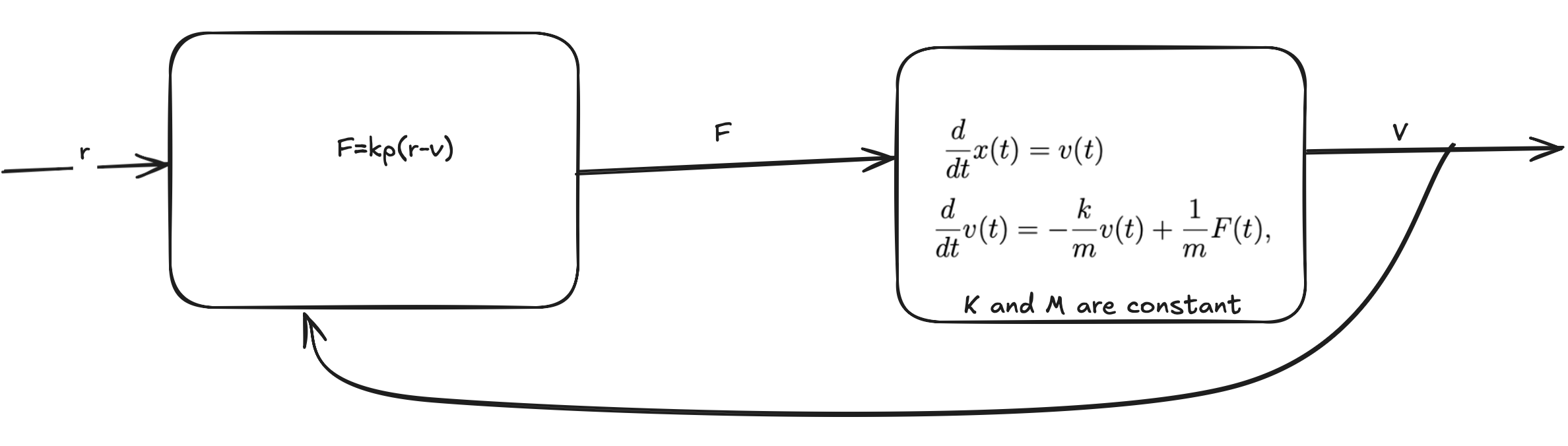
let f = |x: &[f64], t: f64| -> Vec<f64> {
let m = 1000.0;
let k = 50.0;
let kp = 300 as f64;
let r = 20.0;
let der_x = x[1];
let der_v = -k / m * x[1] + kp * (r - x[1]) / m;
vec![der_x, der_v]
};
let t0 = 0.0;
let x0 = vec![0.0, 0.0]; // Initial condition x(0) = 0
let h = 0.5;
let n = 1000;
let (t, result) = runge_kutta_4(f, &x0, t0, h, n);
// Print the solution at each step
for (time, state) in t.iter().zip(result.iter()) {
println!("t = {:.1}, x = {:.6}", time, state[1]);
}
}
pub fn runge_kutta_4<F>(f: F, x0: &[f64], t0: f64, h: f64, n: usize) -> (Vec<f64>, Vec<Vec<f64>>)
where
F: Fn(&[f64], f64) -> Vec<f64>,
{
let mut t = vec![t0];
let mut result = vec![x0.to_vec()];
for _ in 0..n {
let xi = &result[result.len() - 1];
let ti = t[t.len() - 1];
let k1 = f(xi, ti);
let k2 = f(&extend(xi, h / 2.0, &k1), ti + h / 2.0);
let k3 = f(&extend(xi, h / 2.0, &k2), ti + h / 2.0);
let k4 = f(&extend(xi, h, &k3), ti + h / 2.0);
let mut next_x = Vec::with_capacity(xi.len());
for j in 0..xi.len() {
let step = xi[j] + (h / 6.0) * (k1[j] + 2.0 * k2[j] + 2.0 * k3[j] + k4[j]);
next_x.push(step);
}
result.push(next_x);
t.push(ti + h);
}
(t, result)
}
fn extend(x: &[f64], h: f64, der: &[f64]) -> Vec<f64> {
assert_eq!(x.len(), der.len());
x.iter()
.zip(der.iter())
.map(|(&xj, &derj)| xj + h * derj)
.collect()
}